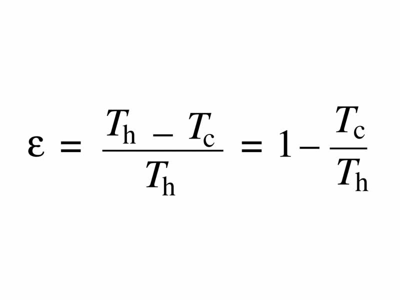
Thermodynamic efficiency expressed in terms of hot and cold sink temperatures

Published by the Integrated MCAT Course under a Creative Commons Attribution NonCommercial ShareAlike License.



Thermodynamic efficiency expressed in terms of hot and cold sink temperatures