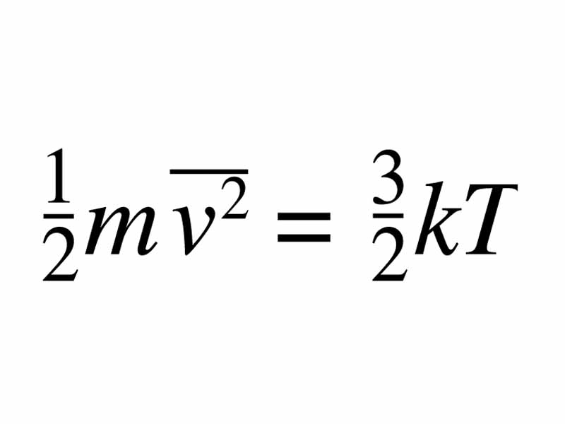
Average kinetic energy per molecule

Published by the Integrated MCAT Course under a Creative Commons Attribution NonCommercial ShareAlike License.



Average kinetic energy per molecule