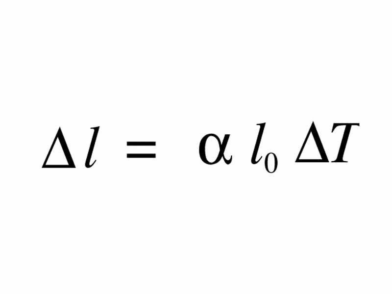
Linear thermal expansion formula

Published by the Integrated MCAT Course under a Creative Commons Attribution NonCommercial ShareAlike License.



Linear thermal expansion formula