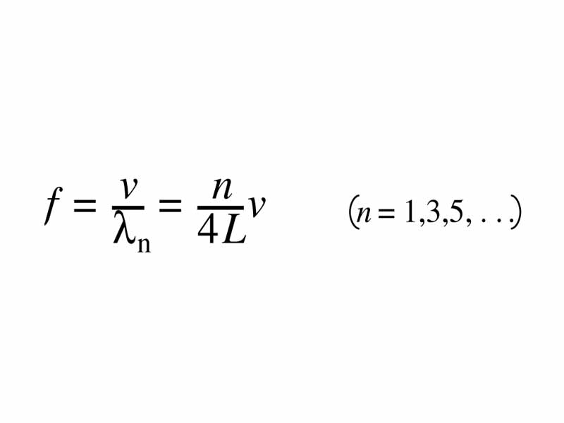
Harmonic series for an air column open at one end formula

Published by the Integrated MCAT Course under a Creative Commons Attribution NonCommercial ShareAlike License.



Harmonic series for an air column open at one end formula