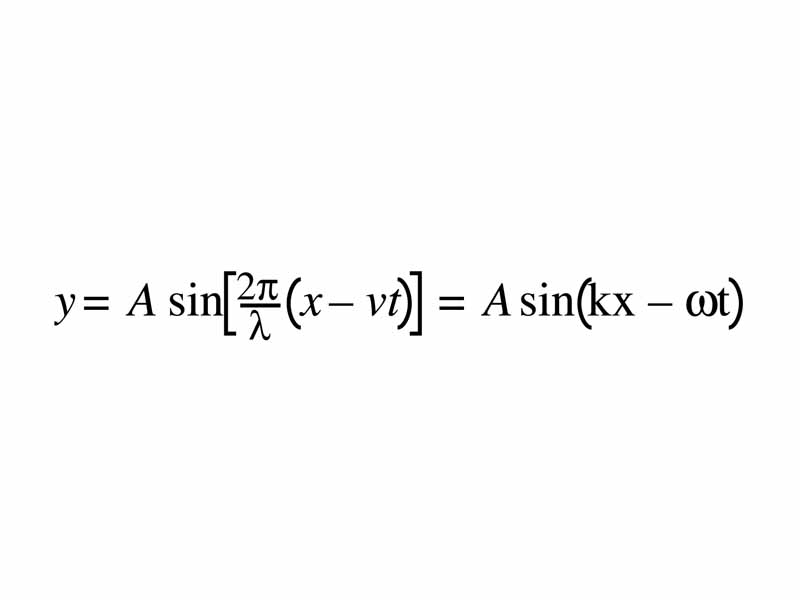
The wave equation

Published by the Integrated MCAT Course under a Creative Commons Attribution NonCommercial ShareAlike License.



The wave equation