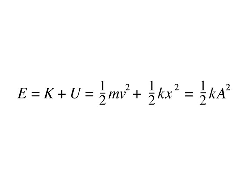
Energy of a mass-spring

Published by the Integrated MCAT Course under a Creative Commons Attribution NonCommercial ShareAlike License.



Energy of a mass-spring